| Archives |
Année scolaire 2019-2020 (site Annales2Maths) Épreuves
de janvier 2020 (site de l'APMEP) Exercices sur les suites
(une de mes fiches d'exercices) Quand
je passe le Bac |
| Sujets "0" |
sujet
1 ; correction 1 ou correction 2 sujet
2 ; correction 1 ou correction 2 |
| Différents bacs blancs |
Sujet proposé en 1ST2S dans l'établissement (janvier 2026) ; correction Exercice sur les suites proposé par H. Amble |
| D'autres sites |
| - CCBac 2025 |
Révisions pour la session 2026 ![]() |
Tableau croisé et fréquences : sujet 1 ; sujet 2 ; Tableau croisé et probabilités : sujet 1 ; sujet 2 ; sujet 3 ; Variable aléatoire et loi de probabilité ; sujet 1 ; sujet 2 ; Loi de Bernoulli : sujet 1 ; Fonctions polynômes de degré 2 : sujet 1 ; sujet 2 ; sujet 3 ; Fonctions polynômes de degré 3 : sujet 1 ; sujet 2 ; sujet 3 ; Dérivation et lecture graphique : sujet 1 ; Suites : sujet 1 ; sujet 2 ; sujet 3 ; sujet 4 ; sujet 5 ; sujet 6 |
| Session 2026 |
Centres
étrangers (juin 2026) : sujet
(correction) Antilles-Guyane
(juin 2026) : sujet
(correction) Polynésie
(juin 2026) : sujet
(correction) Métropole
(juin 2026) : sujet
(correction) Antilles-Guyane
(septembre 2026) : sujet
(correction) Métropole
(septembre 2026) :
sujet (correction) Nouvelle-Calédonie
(novembre 2026) : sujet
(correction) |
| AUTOMATISMES |
|
| Calcul numérique et algébrique | |
| Comparer deux
nombres directement ou par calcul :
• de leur différence ; • s’ils sont strictement positifs, de leur quotient |
- comparer des nombres écrits sous différentes formes - comparer des probabilités - comparer des nombres écrits avec des puissances de 10 - comparer avec des pourcentages - comparer des nombres qui ne sont pas écrits sous la même forme |
| Effectuer des opérations et des comparaisons entre des fractions simples | - opérations sur les fractions - résoudre un problème de partage - déterminer l'image d'une fraction par une fonction polynôme du second degré |
| Effectuer des opérations sur les puissances | - opérations sur les puissances - transformer un calcul comportant des puissances - additionner deux puissances identiques - calculer avec des puissances de -1 |
| Passer d’une écriture d’un nombre à une autre (décimale, fractionnaire, pourcentage) | - écrire
une fraction sous la forme d'un nombre décimal - écrire un nombre sous la forme d'un pourcentage |
| Estimer un ordre de grandeur | - ordre de grandeur du pourcentage d'un nombre - déterminer un ordre de grandeur d'un pourcentage d'un nombre
|
| S’assurer de la vraisemblance, de la cohérence d’un résultat | |
| Effectuer des conversions d’unités : longueurs, aires, volumes, contenances, durées, vitesses, masses | - conversions de vitesses en
vidéo - déterminer une vitesse moyenne - convertir des Joules en kWh - convertir des heures en minutes |
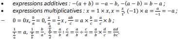
Effectuer
un
calcul littéral élémentaire :![]() |
- inverse de la somme de deux nombres - calculer (16 + 2) ÷ 5 – 2,5 + 1 - calculer 21,4 – (24 – 7) ÷ 2 - calculer un nombre connaissant son inverse - calculer avec un programme de calcul - déterminer une expression littérale
|
| Développer,
factoriser, réduire une expression algébrique simple : • identités remarquables (factorisation et développement) ; • factorisation de ax^2 + bx et ax + bx |
- développer en utilisant une identité remarquable - déterminer l'image d'une fonction - développement simple d'une expression - développement utilisant la double distributivité - développement d'une expression utilisant la double distributivité - développer avec la double distributivité - utiliser une identité remarquable pour calculer |
| Résoudre une équation du type x^2 = a, ax + b = cx + d ou a/x = b, ou une inéquation du premier degré | - résoudre une équation du type x^2 = a - résoudre une équation du type ax + b = cx + d - résoudre une équation du premier degré - résoudre une inéquation du premier degré - résoudre un problème utilisant une équation de la forme ax + b = cx + d - résoudre une équation du type x/a = b |
| Isoler une variable dans une égalité qui en comporte plusieurs, sur des exemples internes aux mathématiques ou issus des autres disciplines | - exercice
corrigé en vidéo - autre exercice corrigé en vidéo - isoler une variable dans un contexte mathématique - exprimer une variable en fonction des autres - exprimer une variable en fonction des autres (utilisation de la racine carrée) |
| Effectuer une application numérique d’une formule (notamment pour les formules utilisées dans les autres disciplines) | - calculer une expression avec des valeurs |
| Déterminer les solutions d’une équation produit nul | - résoudre une équation produit nul |
| Déterminer le signe d’une expression du premier degré, d’une expression factorisée du second degré | - retrouver le tableau de signes d'un produit d'expressions affines - retrouver une fonction affine à partir de son tableau de signes |
| Développer, factoriser, réduire une expression algébrique simple | - développer des expressions - factoriser des expressions |
| Proportions et pourcentages |
|
| Calculer, appliquer, exprimer une proportion sous différentes formes (décimale, fractionnaire, pourcentage) | - calculer des proportions et comaprer les résultats - calculer un pourcentage à partir d'un diagramme en barres - comparer avec des pourcentages |
| Utiliser
une proportion pour calculer une partie connaissant le tout, ou le tout connaissant une partie |
- utiliser
une proportion pour calculer une partie connaissant le tout - déterminer un ordre de grandeur d'un pourcentage d'un nombre ![]() |
| Évolutions et variations | |
| Passer d’une formulation additive (« augmenter de 5 % », respectivement « diminuer de 5 % ») à une formulation multiplicative (« multiplier par 1,05 », respectivement « multiplier par 0,95 ») | - diminuer une valeur de 62 % - taux d'évolution et coefficient multiplicateur - coefficient multiplicateur d'une quantité qui a doublé - calculer un coefficient multiplicateur |
| Appliquer un taux d’évolution pour calculer une valeur finale ou initiale | - calculer un prix après une évolution en pourcentage |
| Calculer un taux d’évolution, l’exprimer en pourcentage | - calculer des taux d'évolution |
| Calculer le taux d’évolution équivalent à plusieurs évolutions successives | - exercice
corrigé en vidéo - exemples en vidéo du site J'ai compris - déterminer une évolution globale |
| Calculer un taux d’évolution réciproque | - taux à appliquer afin qu'un article retrouve son prix initial - calculer un coefficient multiplicateur réciproque
|
| Fonctions et représentations |
|
| Déterminer graphiquement des images et des antécédents | - lire graphiquements des images et des antécédents - vérifier lorsque x et f(x) ont le même signe |
| Exploiter une équation de courbe (appartenance d’un point, calcul de coordonnées) | - appartenance d'un point à une courbe - déterminer le point n'appartenant pas à une hyperbole |
| Reconnaître l’expression d’une fonction linéaire, d’une fonction affine, savoir que leur représentation graphique est une droite | |
Résoudre
graphiquement une équation, une inéquation du type : ![]() |
- résoudre graphiquement des équations - résoudre graphiquement des inéquations - résoudre graphiquement des équations et des inéquations - résoudre une inéquation utilisant la fonction racine carrée |
| Déterminer graphiquement le signe d’une fonction ou son tableau de variations | |
| Tracer une droite donnée par son équation réduite ou par un point et son coefficient directeur | - tracer une droite donnée par son équation réduite |
| Lire graphiquement l’équation réduite d’une droite | - lire le coefficient directeur et l'ordonnée à l'origine d'une droite - déterminer l'équation réduite d'une droite - exerciseur pour déterminer l'équation réduite d'une droite - exerciseur pour déterminer l'expression d'une fonction affine |
| Déterminer le coefficient directeur d’une droite à partir des coordonnées de deux de ses points | - déterminer le coefficient directeur d'une droite dont on connaît les coordonnées de deux de ses points |
| Statistiques Les contextes sont issus des mathématiques, des autres disciplines ou de la vie réelle. |
|
| Lire
et commenter des graphiques usuels : • diagramme en barres ; • diagramme circulaire, semi-circulaire ; • courbe, nuage de points (diagramme cartésien). |
|
| Calculer et interpréter des indicateurs statistiques (moyenne, médiane, quartiles) pour une série statistique (selon la façon dont elle est présentée : données brutes, données regroupées par classes, représentations graphiques) | - déterminer une valeur d'une série statistique afin d'avoir une moyenne donnée - déterminer la médiane d'une série statistique - déterminer la médiane d'une série statistique - comparer les médianes et les motennes de deux séries à faibles effectifs |
| Comparer des distributions à l’aide de boites à moustaches | |
| Lire un graphique, un histogramme, un diagramme en barres ou circulaire, un diagramme en boîte ou toute autre représentation (repérer l’origine du repère, les unités de graduations ou les échelles, etc.) | |
| Passer du graphique aux données et vice-versa | - choisir le diagramme circulaire correspondant à une situation - calculer un pourcentage à partir d'un diagramme en barres - choisir le bon diagramme circulaire |
| Calculer et interpréter des indicateurs statistiques pour une série statistique | |
| Probabilités |
|
| Savoir qu’une probabilité est un nombre entre 0 et 1 | |
| Savoir calculer la probabilité de l’événement contraire | - comparer des probabilités - déterminer une probabilité en utilisant un événement contraire |
| Calculer la probabilité d’un événement comme somme des probabilités des issues qui le composent | |
Utiliser
la relation dans le cas de l’équiprobabilité |
- comparer des probabilités |
| Calculer des probabilités conditionnelles lorsque les événements sont présentés sous forme de tableau croisé d’effectifs ou d’arbres pondérés | - calculer une probabilité conditionnelle |
Distinguer
les probabilités suivantes :![]() |
- calculer la probabilité de l'intersection de deux événements - calculer une probabilité conditionnelle à partir d'un tableau croisé - utiliser un arbre pour calculer la probabilité de l'intersection de deux événements - calculer une probabilité conditionnelle |




dans le cas de l’équiprobabilité
